2025年12月7日,由全国基础医学形态学实验室主任联席会主办的“第四届高等医学院校大学生数字形态学读片和数字解剖标本辨识技能大赛”决赛顺利举行,西安医学院考点设在基础医学部形态学实验中心。
基础医学部组织学与胚胎学教研室、病理学教研室、病原生物学教研室、人体解剖学教研室广大教师群策群力,积极筹备,组织学生参加了组织学、病理学、寄生虫学、医学微生物学及人体解剖学共计五个赛道的比赛。形态学实验中心为保障西安医学院考点能顺利开展比赛,提前布置考场,进行设备调试,并在赛前安排场地和人员鼎力配合各相关教研室积极备赛。经过初赛的激烈角逐,每个赛道遴选出校赛成绩前20名的学生参加全国决赛。在决赛中,参赛同学努力拼搏,展现出扎实的形态学基础和出色的辨识能力,在全国220余所参赛高校,约17000名参赛学生中取得一等奖5名、二等奖15名、三等奖11名的优异成绩,并选送成绩排名前1%的3名学生参加线下总决赛。此外,在本次决赛中,病理学赛道获“卓越团队奖”,我校荣获“优秀组织奖”。

赛前考场准备

组胚学赛道比赛现场

病理学赛道比赛现场

寄生虫学赛道比赛现场

医学微生物学赛道比赛现场

人体解剖学赛道比赛现场

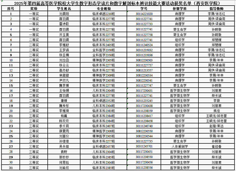
获奖名单
此项大赛不仅是一次“云端阅兵”,更是检验我校基础医学部在积极落实教育部《关于加快推进教育数字化的意见》战略部署的重要成效,体现了基础医学部在创新医学人才培养模式上的积极探索。通过依托形态学数字化教学平台的丰富教学资源,极大地推动了数字化技术与传统形态学实验教学深度融合的教育模式。
通过此项大赛的锻炼和磨砺,学生将课堂理论知识与数字切片资源深度结合,不仅有效激发了学生对形态学各门课程的浓厚兴趣,巩固了学生对理论知识的理解,而且提高了学生镜下辨识和3D标本快速定位的能力,显著提升了学生的数字素养,实现了“以赛促教、以赛促学、以赛促改、以赛促建”的良性循环,为培养具备扎实专业技能、卓越创新能力和能够适应未来数字医疗发展的高素质应用型医药卫生人才奠定坚实的根基。
(基础医学部 文/图 雷阳 吴庚利 审核/汪洋)